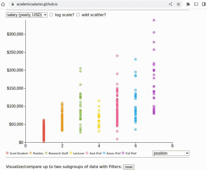
pmocz
Submitted by pmocz t3_1001umv in dataisbeautiful
Submitted by pmocz t3_100141q in dataisbeautiful
Submitted by pmocz t3_zqb3uo in dataisbeautiful
Submitted by pmocz t3_1001umv in dataisbeautiful
Submitted by pmocz t3_100141q in dataisbeautiful
Submitted by pmocz t3_zqb3uo in dataisbeautiful
pmocz OP t1_j2f58v5 wrote
Reply to comment by chalybesmith in [OC] Fixed, New & improved: Academic salary transparency visualization by pmocz
Thank you!